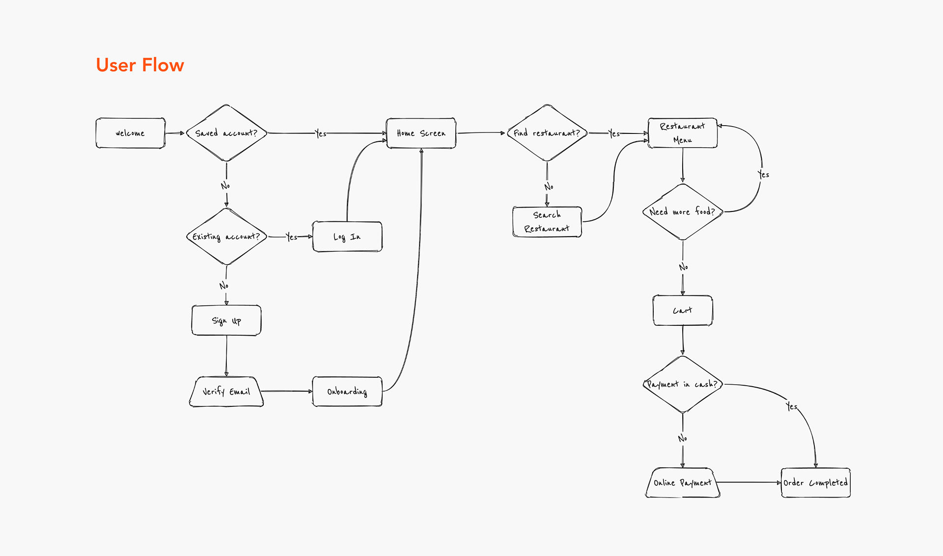
Concept and case study for a food delivery app.
This site uses cookies to analyze traffic. Cookies will be blocked unless permission is given. Accept Decline